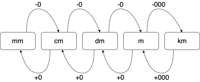
| 947 cm | = | mm |
| 725 000 mm | = | m |
| 283 dm | = | mm |
| 540 000 m | = | km |
| 10 200 000 cm | = | km |
| 390 km | = | mm |
| 248 m | = | mm |
| 13 400 mm | = | dm |
| 23 800 cm | = | m |
| 548 km | = | cm |
| 947 cm | = | mm |
| 725 000 mm | = | m |
| 283 dm | = | mm |
| 540 000 m | = | km |
| 10 200 000 cm | = | km |
| 390 km | = | mm |
| 248 m | = | mm |
| 13 400 mm | = | dm |
| 23 800 cm | = | m |
| 548 km | = | cm |